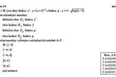
Otestujte se, jak byste dopadli u státní maturity
Redakce Aktuálně.cz pro vás připravila ukázky maturitních testů
Redakce Aktuálně.cz pro vás připravila ukázky maturitních testů



Nejžádanější jsou testy obecných studijních předpokladů, řadě lidí pomohou na VŠ



Taepodong-2 urazila polovinu potřebné vzdálenosti k Aljašce



Člen vládního NERVu navrhuje, jak ušetřit ve zdravotnictví
Paříž provedla v letech 1960 až 1996 v Alžírsku a Tichomoří 210 testů



Při testech v Barceloně zaostával Kovalainen i Hamilton



Poslanci tvrdí, že pokud ministerstvo školství a CERMAT výrazně nezrychlí přípravu, maturity v příštím roce nebudou připravené
Levné přístroje jsou nespolehlivé a řidiče jenom zmatou
Výroky, kterými proslul nyní už bývalý prezident USA
Zkouška simulovala útok z Koreje či Íránu



Návrh zákona počítá především s vojáky a zaměstnanci jaderných střelnic



Čtvrtinu nakažených virem HIV tvoří cizinci žijící v Česku



Ochráncům zvířat ale nová směrnice nestačí
Svět by hlasoval pro Obamu. A pro koho vy?



Aktuálně.cz navštívilo dánskou ekolaboratoř



Zakázal svým lodím vstup do zóny ve Žlutém moři